Residents make Zongzi to greet Dragon Boat Festival in Xiongan
Folk activities held in schools in Xiongan to celebrate Dragon Boat Festival
Picturesque sceneries in Xiongan to bring you coolness in summer
Video: World-class concert held in Xiongan New Area
Xiongan greets harvest season
World-class concert held in Xiongan New Area
In pics: Ancient underground military tunnel in Xiongan New Area
In pics: First day of national college entrance examination in Xiongan
China publishes master plan for Xiongan New Area
China approves master plan for Xiongan New Area
Stamps issued to mark birth of Xiongan New Area in Hebei
Aerial view of Baiyangdian in Xiongan New Area on New Year's Day
In pics: first snowfall in Xiongan New Area in 2018
Sail toward the rising sun of the new era
In pics: Xiongan New Area in one year
Beijing provides targeted assistance to schools in Xiongan New Area
Xiongan New Area eyes quality education
Inter Milan coaches attend soccer winter camp in Xiongan New Area
Xiongan New Area to plant 6,670 hectares of trees in 2018
Baiyangdian depicted in long scroll painting
2018-06-23 15:59
来源:
河北新闻网
微信
微博
Qzone
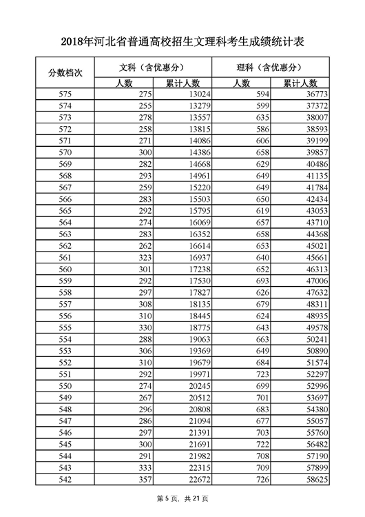
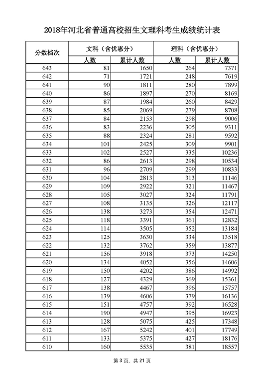
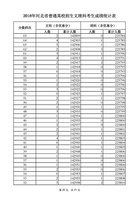
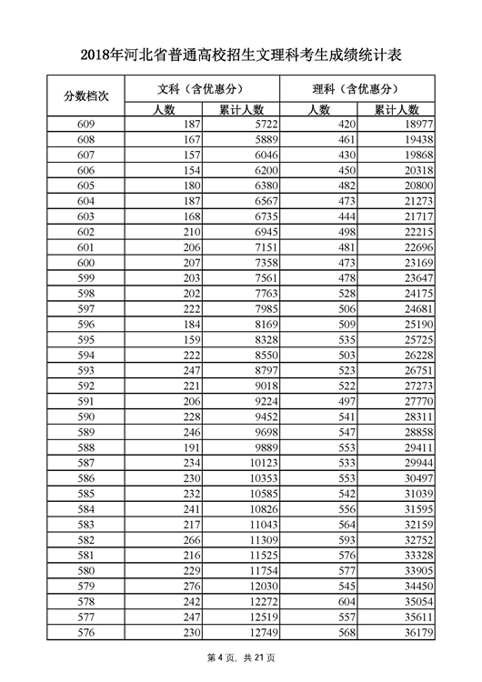
2018年河北省普通高校招生文理科考生成绩统计表公布
2018-06-23 15:59:58
来源:
河北新闻网
今天上午,河北省教育考试院官方网站发布2018年河北省普通高校招生文理科考生成绩统计表,具体如下:
责任编辑: 陈潇
关键词:
+1
新闻评论
文明上网理性发言,请遵守新闻评论服务协议,评论仅供表达个人看法,并不代表我网立场
为你推荐
2018年河北省普通高校招生文理科考生成绩统计表公布
今天上午,河北省教育考试院官方网站发布2018年河北省普通高校招生文理科考生成绩统计表。
2018-06-23 15:59:58
河北将强化白洋淀水环境治理 推动与京津区域水污染防治协作
河北省环境保护厅22日披露,河北将强化白洋淀等重点流域治理,加强重点流域环境综合整治和生态修复。
2018-06-23 15:42:39
陈刚会见中国欧盟商会主席何墨池一行
6月22日,省委常委、副省长,雄安新区党工委书记、管委会主任陈刚在雄安新区会见了中国欧盟商会主席何墨池一行。
2018-06-23 15:22:52
辛识平:习近平守护“城市之魂”
2018年春天出台的《河北雄安新区规划纲要》提出,保护历史文化,形成体现历史传承、文明包容、时代创新的新区风貌。
2018-06-23 11:43:20
河北省前5个月财政收支稳定增长
从省财政厅获悉,1至5月,全省财政收支继续保持稳定增长态势,为顺利完成全年预算执行任务打下坚实基础。
2018-06-23 11:20:30
商务部副部长兼国际贸易谈判副代表王受文一行到新区调研
6月21日,商务部副部长兼国际贸易谈判副代表王受文一行到雄安新区调研并座谈,听取以雄安新区为核心设立中国(河北)自由贸易试验区的相关情况。
2018-06-23 11:19:11
让千年文脉融入新区建设
无文化传承,无雄安未来。保护与合理利用文物古迹,传承与弘扬优秀传统文化,是规划建设雄安新区的明确要求。
2018-06-23 11:19:38
雄安新区精心营造近自然森林:每棵树都有“身份证”
刚满1岁的河北雄安新区,在最近结束的春季造林中,共植树800万余棵。
2018-06-23 11:18:19
许勤主持召开省政府常务会议
6月22日,省长许勤主持召开省政府常务会议。
2018-06-23 11:17:57
河北:“四查四改”推动扬尘污染防治
日前,河北省住建厅印发《关于加强扬尘治理精细化管控的紧急通知》。
2018-06-22 22:33:20
2018年河北省普通高校招生各批各类录取控制分数线公布
经河北省招生委员会全体会议研究,确定了今年河北省普通高校招生各批各类录取控制分数线,现予以公布。
2018-06-22 22:32:55
雄安新区将在这一领域率先突破!事关每个人
近日,《河北省“十三五”推进基本公共服务均等化规划》公布。在促进协同发展方面,规划提出,推动雄安新区率先突破,到2022年,全部公共服务指标达到或超过京津水平。
2018-06-22 22:31:36
【中国雄安新闻】20180622
2018-06-22 21:38:31
河北省分类调控今年光伏发电新增建设规模
河北省发改委日前下发《关于贯彻落实国家2018年光伏发电有关要求的通知》。
2018-06-22 17:30:08
聚焦九项重点工作推进工业转型升级
记者从6月21日召开的全省工业转型升级现场会上获悉,我省将着力聚焦九大工作重点推进工业转型升级。
2018-06-22 17:30:21
三大运营商宣布7月1日起取消流量“漫游”费
中国移动、中国联通、中国电信22日相继宣布取消流量“漫游”费。
2018-06-22 17:29:20
雄安新区6人入围河北“千名好支书”
省委决定,在庆祝建党97周年之际,以省委组织部名义选树表彰300名“千名好支书”(2017、2018、2019年3年累计选树1000名)。
2018-06-22 17:28:58
国务院办公厅关于印发进一步深化“互联网+政务服务”推进政务服务“一网、一门、一次”改革实施方案的通知
国务院办公厅印发进一步深化“互联网+政务服务”推进政务服务“一网、一门、一次”改革实施方案的通知。
2018-06-22 17:26:00
用“最多跑一次”激发发展新动力
近日,中办、国办印发了《关于深入推进审批服务便民化的指导意见》,对深入推动审批服务便民化工作作出部署。
2018-06-22 11:37:12
河北公布4起交办群众信访举报事项查办不实问题
截至6月21日,中央第一环保督察组已向我省交办20批2195件群众信访举报问题,其中重点问题598件。
2018-06-22 11:36:40
河北推企业环保领跑者制度 污染物排放将严于现行标准
河北省环保厅、财政厅、发改委、工信厅日前联合印发《河北省推行企业环保“领跑者”制度实施方案》。
2018-06-22 11:35:16
河北省年内编制完成5G基站站址规划
今年,河北省将全面梳理全省通信基站与社会塔(杆)资源情况,编制完成5G基站站址规划。
2018-06-22 11:34:31
【视频】雄安新区环境执法百日会战攻坚行动启动
2018-06-22 11:34:07
加载更多新闻
2018年河北省普通高校招生文理科考生成绩统计表公布-中国雄安官网
中国雄安官网 www.xiongan.gov.cn
020020030100000000000000011124141298994501